歐美晶振
-
貼片晶振 SMD Crystal -
石英晶振 Quartz crystal -
圓柱晶振 KHZ Crystal -
聲表面諧振器|濾波器 SAW Resonator -
陶瓷晶振 Ceramic Resonator -
陶瓷濾波器 Ceramic Filte -
陶瓷霧化片 Atomization piece -
NJR晶振 NJR CRYSTAL -
日本大真空晶振 KDS crystal -
愛普生石英晶振 EPSON Crystal -
西鐵城晶體 CITIZEN Crystal -
精工晶體 SEIKO Crystal -
村田陶瓷諧振器 muRata Crystal -
京瓷貼片晶振 -
NDK石英晶振 NDK CRYSTAL -
CTS晶振 CTS石英晶振 -
大河晶振 日本大河晶體 -
TXC石英晶振 臺灣晶技 -
泰藝石英晶振 泰藝SMD晶體 -
鴻星貼片晶振 HOSONIC -
加高石英晶振 加高石英晶體諧振器 -
臺灣亞陶晶振 亞陶石英晶振 -
NAKA晶振 NAKA晶振 -
SMI晶振 -
AKER晶振 AKER晶振 -
NKG晶振 NKG CRYSTAL -
ABRACON晶振 艾博康晶振 -
VECTRON晶振 維管晶振 -
JAUCH晶振 JAUCH CRYSTAL -
ConnorWinfield晶振 康納溫菲爾德晶振 -
Rakon晶振 瑞康晶振 -
ECS晶振 伊西斯晶振 -
CTS晶振 西迪斯晶振 -
GREENRAY晶振 格林雷晶振 -
ECLIPTEK晶振 日蝕晶振 -
GOLLEDGE晶振 高利奇晶振 -
STATEK晶振 斯塔克晶振 -
Pletronics晶振 普銳特晶振 -
SITIME晶振 可編程晶振 -
Microcrystal晶振 瑞士微晶晶振 -
DIODES晶振 百利通亞陶晶振 -
RALTRON晶振 拉隆晶振 -
AEK晶振 安克晶振 -
AEL晶振 艾爾晶振 -
ILSI晶振 艾爾西晶振 -
FOX晶振 福克斯晶振 -
fujicom晶振 富士通晶振 -
CRYSTEK晶振 瑞斯克晶振 -
Geyer晶振 格耶電子 -
quartzcom晶振 康泰克晶振 -
EUROQUARTZ晶振 歐洲石英晶振 -
quarztechnik晶振 夸克晶振 -
Cardinal晶振 卡迪納爾晶振 -
FRE-TECH晶振 弗萊特晶振 -
KVG晶振 KVG CRYSTAL -
wi2wi晶振 威爾威晶振 -
Transko晶振 特蘭斯科晶振 -
suntsu晶振 松圖晶振 -
mmdcomp晶振 麥迪康晶振 -
MERCURY晶振 瑪居禮晶振 -
MTRONPTI晶振 麥特倫皮晶振 -
qantek晶振 qantek晶振 -
IDT晶振 IDT CRYSTAL -
ACT CRYSTAL ACT CRYSTAL -
mti-milliren crystal -
Lihom晶振 Lihom晶振 -
Rubyquartz晶振 -
OSCILENT晶振 OSCILENT晶振 -
ITTI晶振 -
Shinsung晶振 -
CTECH晶振 -
IQD晶振 IQD CRYSTAL -
Microchip晶振 Microchip CRYSTAL -
Silicon晶振 Silicon CRYSTAL -
Fortiming晶振 Fortiming CRYSTAL -
CORE晶振 CORE CRYSTAL -
NIPPON晶振 Nippon Crystal -
NIC晶振 NIC CRYSTAL -
QVS晶振 QVS OSCILLATOR -
Bomar晶振 Bomar Crystal -
Bliley晶振 BlileyCrystal -
GED晶振 GED CRYSTAL -
FILTRONETICS晶振 FILTRONETICS CRYSTAL -
Standard晶振 StandardCrystal -
Q-Tech晶振 Q-Tech CRYSTAL -
Anderson晶振 Anderson crystal -
Wenzel晶振 WENZEL CRYSTAL -
NEL晶振 NEL CRYSTAL -
EMResearch晶振 EMResearch Crystal -
PETERMANN晶振 PETERMANN CRYSTAL -
FCD-Tech晶振 FCD-Tech Crystal -
HEC晶振 HEC crystal -
FMI晶振 FMI crystal -
AXTAL晶振 AXTAL crystal -
SUNNY晶振 SUNNY CRYSTAL -
ARGO晶振 ARGO晶振公司是專業提供和設計波段頻率控制設備和微波無線通信零部件.我們還分銷日本,歐洲和美國的一些知名品牌零部件.我們致力于發展與計算機,IT和無線通信公司無任何界限的信息時代.我們秉承經營者的踏實,誠懇的態度,互惠互利的精神,實現共贏的目標,以誠信為本,誠信為本,公平交易為宗旨,以誠信,勤勉,誠信,精神質量第一,客戶滿意的經營理念,將以優良的產品質量,優惠的價格,優質的服務與您建立長期穩定的合作關系,共創輝煌事業. -
Renesas瑞薩晶振 -
SKYWORKS晶振

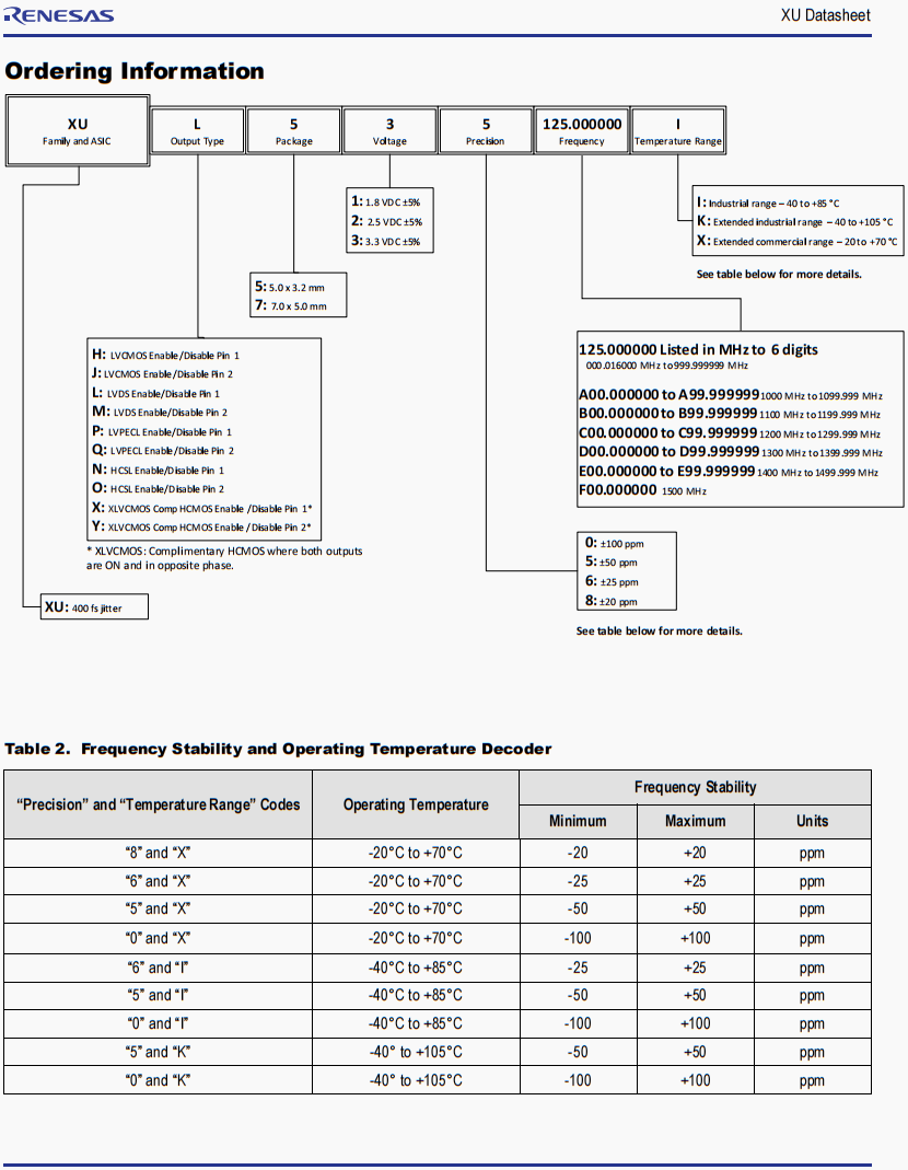
領先同行的北斗衛星晶振/Renesas晶振/XUH535004.000000X晶振,瑞薩晶振公司,Renesas晶振,進口晶振,有源晶振,石英晶振,貼片晶振,六腳晶振,高品質晶振,高性能晶振,SMD晶振,OSC晶振,6G信號接收器晶振,室外基站晶振.XU器件是低相位噪聲石英基鎖相環振蕩器,支持大范圍的頻率和輸出接口類型。這些器件設計用于在三種不同的電源下工作,并提供多種封裝尺寸和溫度等級。憑借獲得專利的一次性程序(OTP),允許無限的存儲保質期,XU設備可以編程產生從16kHz到1500MHz的輸出頻率,分辨率低至1Hz精度。

領先同行的北斗衛星晶振/Renesas晶振/XUH535004.000000X晶振
| Symbol | Parameter | Test Condition | Minimum | Typical | Maximum | Units |
| F | 輸出頻率范圍 | LVDS. | 0.016 | 1500 | MHz | |
| LVPECL, HCSL. | 0.016 | 670 | ||||
| LVCMOS. | 0.016 | 167 | ||||
| 頻率穩定度 | Temperature = -20°C to +70°C. |
-20 -25 -50 -100 |
+20 +25 +50 +100 |
ppm | ||
| Temperature = -40°C to +85°C. |
-25 -50 -100 |
+25 +50 +100 |
ppm | |||
| Temperature = -40°C to +105°C. |
-50 -100 |
+50 +100 |
ppm | |||
| 輸出負載 | LVDS. | 100 | Ω | |||
| LVPECL. | 50 | |||||
| HCSL. | 50 | |||||
| LVCMOS. | 15 | pF | ||||
| TST | 啟動時間 | Output valid time after VDD meets minimum specified level. | 10 | ms | ||
| tR | 輸出上升時間 | LVDS. | 275 | 380 | ps | |
| LVPECL. | 400 | |||||
| HCSL. | 330 | |||||
| LVCMOS. | 3 | ns | ||||
| tF | 輸出下降時間 | LVDS. | 275 | 380 | ps | |
| LVPECL. | 400 | |||||
| HCSL. | 330 | |||||
| LVCMOS. | 3 | ns | ||||
| ODC | 輸出時鐘工作周期 | LVDS. | 45 | 55 | % | |
| LVPECL. | 45 | 55 | ||||
| 40 | 60 | |||||
| HCSL. | 45 | 55 | ||||
| LVCMOS. | 45 | 55 | ||||
| 40 | 60 | |||||
| TOE | 輸出啟用/禁用時間 | 100 | ns |
.jpg)
領先同行的北斗衛星晶振/Renesas晶振/XUH535004.000000X晶振



| 原廠編碼 | 生產商品牌 | 型號 | 頻率 | 輸出 | 電源電壓 | 頻率容差 |
| XUL535100.000000I | Renesas晶振 | XU | 100 MHz | LVDS | 3.3V | ±50ppm |
| XUL516100.000000I | Renesas晶振 | XU | 100 MHz | LVDS | 1.8V | ±25ppm |
| XUN535100.000000I | Renesas晶振 | XU | 100 MHz | HCSL | 3.3V | ±50ppm |
| XUL536100.000000I | Renesas晶振 | XU | 100 MHz | LVDS | 3.3V | ±25ppm |
| XUL536125.000000I | Renesas晶振 | XU | 125 MHz | LVDS | 3.3V | ±25ppm |
| XUL736100.000000I | Renesas晶振 | XU | 100 MHz | LVDS | 3.3V | ±25ppm |
| XUL536156.250000I | Renesas晶振 | XU | 156.25 MHz | LVDS | 3.3V | ±25ppm |
| XUL736150.000000I | Renesas晶振 | XU | 150 MHz | LVDS | 3.3V | ±25ppm |
| XUH518027.120000X | Renesas晶振 | XU | 27.12 MHz | HCMOS | 1.8V | ±20ppm |
| XUH538024.576000X | Renesas晶振 | XU | 24.576 MHz | HCMOS | 3.3V | ±20ppm |
| XUH738016.125000X | Renesas晶振 | XU | 16.125 MHz | HCMOS | 3.3V | ±20ppm |
| XUH738044.736000X | Renesas晶振 | XU | 44.736 MHz | HCMOS | 3.3V | ±20ppm |
| XUH518033.333333X | Renesas晶振 | XU | 33.333333 MHz | HCMOS | 1.8V | ±20ppm |
| XUH738025.000000X | Renesas晶振 | XU | 25 MHz | HCMOS | 3.3V | ±20ppm |
| XUH738072.000000X | Renesas晶振 | XU | 72 MHz | HCMOS | 3.3V | ±20ppm |
| XUH738022.579200X | Renesas晶振 | XU | 22.5792 MHz | HCMOS | 3.3V | ±20ppm |
| XUH538027.000000X | Renesas晶振 | XU | 27 MHz | HCMOS | 3.3V | ±20ppm |
| XUH538022.579200X | Renesas晶振 | XU | 22.5792 MHz | HCMOS | 3.3V | ±20ppm |
| XUH728025.000000X | Renesas晶振 | XU | 25 MHz | HCMOS | 2.5V | ±20ppm |
| XUH728020.000000X | Renesas晶振 | XU | 20 MHz | HCMOS | 2.5V | ±20ppm |
| XUH538013.000000X | Renesas晶振 | XU | 13 MHz | HCMOS | 3.3V | ±20ppm |
| XUH728016.125000X | Renesas晶振 | XU | 16.125 MHz | HCMOS | 2.5V | ±20ppm |
| XUH538067.108864X | Renesas晶振 | XU | 67.108864 MHz | HCMOS | 3.3V | ±20ppm |
| XUH538125.000000X | Renesas晶振 | XU | 125 MHz | HCMOS | 3.3V | ±20ppm |
| XUH535004.000000X | Renesas晶振 | XU | 4 MHz | LVCMOS | 3.3V | ±50ppm |
| XUH735033.333000X | Renesas晶振 | XU | 33.333 MHz | LVCMOS | 3.3V | ±50ppm |
| XUH730060.000000X | Renesas晶振 | XU | 60 MHz | LVCMOS | 3.3V | ±100ppm |
| XUH730080.000000I | Renesas晶振 | XU | 80 MHz | LVCMOS | 3.3V | ±100ppm |
| XUH736030.720000X | Renesas晶振 | XU | 30.72 MHz | LVCMOS | 3.3V | ±25ppm |
| XUH515045.125000I | Renesas晶振 | XU | 45.125 MHz | LVCMOS | 1.8V | ±50ppm |
| XUH525125.000000I | Renesas晶振 | XU | 125 MHz | LVCMOS | 2.5V | ±50ppm |
| XUH715066.600000I | Renesas晶振 | XU | 66.6 MHz | LVCMOS | 1.8V | ±50ppm |
| XUH715040.000000X | Renesas晶振 | XU | 40 MHz | LVCMOS | 1.8V | ±50ppm |
| XUH736033.000000I | Renesas晶振 | XU | 33 MHz | LVCMOS | 3.3V | ±25ppm |
| XUH716050.000000I | Renesas晶振 | XU | 50 MHz | LVCMOS | 1.8V | ±25ppm |
| XUH516033.333300I | Renesas晶振 | XU | 33.3333 MHz | LVCMOS | 1.8V | ±25ppm |
| XUH536090.000000I | Renesas晶振 | XU | 90 MHz | LVCMOS | 3.3V | ±25ppm |
| XUX735080.000000X | Renesas晶振 | XU | 80 MHz | HCMOS | 3.3V | ±50ppm |
| XUH536005.000000I8 | Renesas晶振 | XU | 5 MHz | LVCMOS | 3.3V | ±25ppm |
| XUJ730080.000000X | Renesas晶振 | XU | 80 MHz | LVCMOS | 3.3V | ±100ppm |
| XUL530039.000000X | Renesas晶振 | XU | 39 MHz | LVDS | 3.3V | ±100ppm |
| XUH516012.000000I | Renesas晶振 | XU | 12 MHz | LVCMOS | 1.8V | ±25ppm |
| XUH515100.000000K | Renesas晶振 | XU | 100 MHz | LVCMOS | 1.8V | ±50ppm |
| XUH715024.000000K | Renesas晶振 | XU | 24 MHz | LVCMOS | 1.8V | ±50ppm |
| XUH535008.000000K | Renesas晶振 | XU | 8 MHz | LVCMOS | 3.3V | ±50ppm |
| XUH535025.000000K | Renesas晶振 | XU | 25 MHz | LVCMOS | 3.3V | ±50ppm |
| XUL515644.530000I | Renesas晶振 | XU | 644.53 MHz | LVDS | 1.8V | ±50ppm |
| XUL526644.530000I | Renesas晶振 | XU | 644.53 MHz | LVDS | 2.5V | ±25ppm |
| XUH738020.000000X | Renesas晶振 | XU | 20 MHz | HCMOS | 3.3V | ±20ppm |
| XUH538010.000000X | Renesas晶振 | XU | 10 MHz | HCMOS | 3.3V | ±20ppm |
| XUH538020.000000X | Renesas晶振 | XU | 20 MHz | HCMOS | 3.3V | ±20ppm |
| XUH538040.000000X | Renesas晶振 | XU | 40 MHz | HCMOS | 3.3V | ±20ppm |
| XUH535003.686000I | Renesas晶振 | XU | 3.686 MHz | LVCMOS | 3.3V | ±50ppm |
| XUH510100.000000X | Renesas晶振 | XU | 100 MHz | HCMOS | 1.8V | ±100ppm |
| XUH535000.127700K | Renesas晶振 | XU | 127.7 kHz | HCMOS | 3.3V | ±50ppm |
| XUH535000.050000X | Renesas晶振 | XU | 50 kHz | HCMOS | 3.3V | ±50ppm |
| XUH515020.000000K | Renesas晶振 | XU | 20 MHz | HCMOS | 1.8V | ±50ppm |
| XUH535025.000000X | Renesas晶振 | XU | 25 MHz | HCMOS | 3.3V | ±50ppm |
| XUH735027.115000X | Renesas晶振 | XU | 27.115 MHz | HCMOS | 3.3V | ±50ppm |
| XUH535100.000000X | Renesas晶振 | XU | 100 MHz | HCMOS | 3.3V | ±50ppm |
| XUH735027.000000X | Renesas晶振 | XU | 27 MHz | HCMOS | 3.3V | ±50ppm |
| XUH535000.192000X | Renesas晶振 | XU | 192 kHz | HCMOS | 3.3V | ±50ppm |
| XUH735048.000000X | Renesas晶振 | XU | 48 MHz | HCMOS | 3.3V | ±50ppm |
1.技術支持 2.客服咨詢
全方位技術指導,專業的技術支持讓您感受 專業的銷售團隊,耐心為您解答任
到前所未有的后顧無憂. 何疑問.讓您的消費得到保障。
3.質量保證,誠信為上 4.提升業績,降低成本
我司以"科技為動力,以質量求生存."為理念. 為您的產品量身訂制,免費取樣,
為您做到低成本,高效率.
工作時間
1,我公司早上上班時間為8:30——12:00。下午上班時間為1:30——5:30。歡迎隨時咨詢我們,業務員手機都是24小時開機的哦!
2,珠三角地區的客戶統一發信豐快遞。如您有指定的快遞公司,請提前和業務員溝通。廣東省外的客戶統一發安全便捷快速的順豐快遞.

深 圳 市 泰 河 電 子 有 限 公 司
代理:EPSON,KDS,CITIZEN,SEIKO
電話:0755-27872782
手機:13824306246
郵箱:taiheth@163.com
Q Q:794113422
地址:深圳市寶安區40區33號工業城6樓
網址:http://m.lida00.cn
溫馨提示:泰河電子已正式開通微信公眾號,大家可以關注訂閱我司的微信公眾號,每天都會更新新的資料,及進口晶振原包裝圖.與官網同步,將可以第一時間與大家溝通!歡迎掃碼關注!

微信:taihekj QQ:794113422





