Quartz crystal oscillator frequency and load capacitance
來源:http://m.lida00.cn 作者:泰河電子 2019年10月29
Quartz crystal oscillator frequency and load capacitance
In an oscillation circuit in which a quartz resonator works as inductive impedance, the equivalent circuit is can be indicated by the combination of an inductanca series with a resistance, as shown in Fig-5 .Fig-5 (a) expresses the oscillation circuit with a series circuitry, while (b) expresses a parallel circuitry.
In an oscillation circuit in which a quartz resonator works as inductive impedance, the equivalent circuit is can be indicated by the combination of an inductanca series with a resistance, as shown in Fig-5 .Fig-5 (a) expresses the oscillation circuit with a series circuitry, while (b) expresses a parallel circuitry.
Here the capacitance CL is an effective capacitance when the oscillating side is viewed from the ends of the quartz resonator, usually called a load capacitance, and -R and - p are negative resistances of the oscillating side.
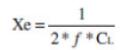
In this type of oscillation circuit, the quartz resonator works as a series circuitry of an inductive reactance Xe and a resistance Re, as shown in Fig.6 and its oscillation frequency is expressed by:
.jpg)
In order to have cortain oscillation while increase of the equivalent resistance at a low excited level of the quartz resonator is taken into consideration, the negative resistance (-R) of the circuit must be good deal larger compared with Re.
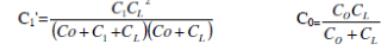
Thus the oscillation frequency is decided by the electrical equivalent constant of the quartz resonator and the load capacitance of the oscillating side regardless of configuration of the oscillation circuit (operating temp, and driving level to be specified separately), so that the load capacitance of the oscillation circuit must be defined clearly at the time of manufacture or use. The equivalent circuit of the quartz resonator and a series connected load capacitance CL is expressed as in Fig-7, and constants at this time are as following:
.jpg)
.jpg)
.jpg)
.jpg)
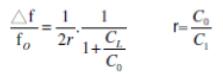
It is required, as shown by the Fig-8 to use a fundamental resonator and select a small load capacitance in order to obtain the amount of change over a wide frequency range through changing of the load capacitance.
.jpg)
正在載入評論數據...
相關資訊
- [2024-08-26]黑神話悟空的爆火居然有7AD0080...
- [2024-05-20]Suntsu振蕩器SGO12S-10.000M系列...
- [2024-03-08]JAUCH在電動賽車領域中大放異彩...
- [2024-03-07]Cardinal晶振使用雙源方法有效測...
- [2023-10-11]關于領先全球的Transko晶振公司...
- [2023-10-09]MTI-Milliren晶振提供的定制解決...
- [2023-10-08]領先同行的富士晶振在電動車充電...
- [2023-06-21]低抖動振蕩器AK2APAF1-156.2500...


.jpg)
